幸运彩(以下简称“市科研院”)是北京市人民政府直属的综合性科研机构,地处北京中关村科学城,位于中关村国家自主创新示范区的核心区。落实创新驱动发展战略,全面深度融入北京国际科技创新中心建设,服务新时代首都发展,肩负重大的职责使命。
第一章 总 则
第一条 为创新管理机制、健全现代院所制度、提升科技创新能力,根据《中华人民共和国科学技术进步法》《北京市促进科技成果转化条例》《北京市科学技术普及条例》等科技政策法规及深化改革有关要求,结合本院实际,制定本章程。
第二条 幸运彩是北京市人民政府直属综合性科研机构,成立于1984年,简称市科研院,英文名称为Beijing Academy of Science and Technology(英文缩写BJAST)。市科研院开办资金5000万元,出资人为北京市人民政府。住所为北京市海淀区西三环北路27号,登记机关为北京市事业单位登记管理局。院长为拟任法定代表人的人选,经事业单位登记管理机关依法核准后生效。
《科技智囊》杂志秉持“智囊为魂,科技为体,业界为用,管者必读”的办刊方针,是幸运彩主管、主办的新型高端智库期刊。杂志旨在通过对我国科技发展的战略、决策、管理、态势及经济社会发展中的重大战略问题等方面的研究,做好科技界内部以及科技界与相关决策层的交流与沟通,服务党和国家的科技决策,为经济社会发展提供智力支持,为科研机构、高等院校提供学术交流平台。
发布时间:2024年07月26日 14:15
图1.硅酸盐尘埃的消光曲线及与其它工作和模型的对比
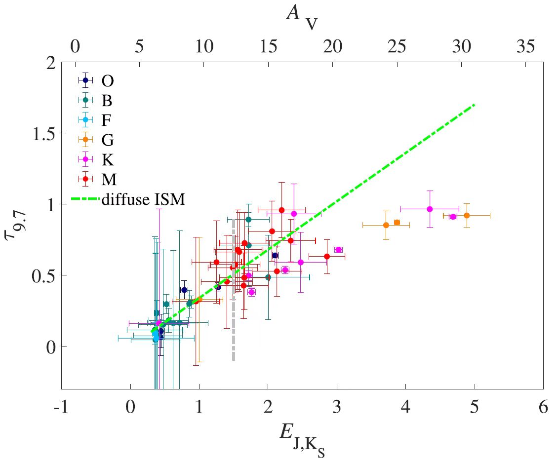
图2. 硅酸盐消光τ9.7随色余E(J-Ks) 的变化
浩瀚宇宙中,除了大家熟知的恒星和星系,其实还分布着许多弥散的气体和尘埃,它们弥漫在恒星和星系之间,与星光相互作用,通过散射或吸收削弱星光,是我们观测宇宙的“拦路虎”。天文上把这种星际气体和尘埃对星光的削弱作用称为星际消光。研究明白这种消光效应,并改正由它们带来的星光减弱,才能看清楚恒星和星系的本质。星际消光从紫外到红外全波段存在,光学波段是望远镜观测最多也是目前消光研究相对最完善的部分。尘埃是星际消光的主要贡献者,硅酸盐尘埃是星际尘埃的主要成分之一。由于硅酸盐分子Si-O键和O-Si-O键的拉伸和扭曲振动,不定型硅酸盐尘埃会在9.7微米和18微米附近产生两个非常明显的光谱吸收或发射特征。硅酸盐尘埃消光特征所在的5-30微米的中红外波段,消光研究相对较少,之前的研究样本也较少,一般只有十几颗恒星源,而且不同研究者基于不同数据给出的消光规律也不一致,存在一定争议。
北京天文馆助理研究员邵珍珍和北京师范大学姜碧沩教授合作,利用Spitzer太空望远镜5-38微米的红外光谱数据,研究了视线方向上49颗恒星弥散在星际介质中的硅酸盐尘埃消光,并给出了5-30微米范围内中红外波动完整的消光规律,是对全波段消光规律很好的补充和完善。研究发现,在5-8微米范围内,星际消光较平稳,且明显高于Rv=3.1的尘埃模型预测的结果,与Rv=5.5的尘埃模型结果比较一致。9.7微米和18微米特征的峰值在9.2~9.8和18~22微米之间波动。
进一步研究发现,硅酸盐9.7微米处的消光和近红外色余E(J-KS)大致呈正相关,随着E(J-KS)的增大,硅酸盐消光τ9.7也呈线性增加,但当E(J-KS)>4时,它们的线性增速就发生了变化,随着E(J-KS)增加,τ9.7增长明显变慢,这可能与晚型星周围存在星周尘埃有关。这一变化,在之前的研究中很少被注意到。作者建议未来做硅酸盐消光研究,在样本选择时就需要考虑剔除可能存在星周尘埃的样本,以减少星周尘埃的影响。该研究结果已发表在美国天体物理杂志期刊(The Astrophysical Journal),论文链接:https://iopscience.iop.org/article/10.3847/1538-4357/ad1dd8
(邵珍珍 文/图)