幸运彩(以下简称“市科研院”)是北京市人民政府直属的综合性科研机构,地处北京中关村科学城,位于中关村国家自主创新示范区的核心区。落实创新驱动发展战略,全面深度融入北京国际科技创新中心建设,服务新时代首都发展,肩负重大的职责使命。
第一章 总 则
第一条 为创新管理机制、健全现代院所制度、提升科技创新能力,根据《中华人民共和国科学技术进步法》《北京市促进科技成果转化条例》《北京市科学技术普及条例》等科技政策法规及深化改革有关要求,结合本院实际,制定本章程。
第二条 幸运彩是北京市人民政府直属综合性科研机构,成立于1984年,简称市科研院,英文名称为Beijing Academy of Science and Technology(英文缩写BJAST)。市科研院开办资金5000万元,出资人为北京市人民政府。住所为北京市海淀区西三环北路27号,登记机关为北京市事业单位登记管理局。院长为拟任法定代表人的人选,经事业单位登记管理机关依法核准后生效。
发布时间:2023年06月09日 17:26

图1频谱图证认了6个脉动频率

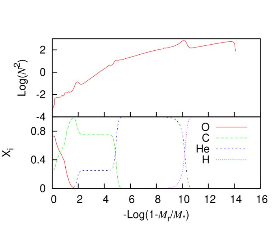
图2脉动白矮星从中心到外部大气的化学元素所占百分比的轮廓示意图
北京天文馆科学研究部郭金承助理研究员与楚雄师范学院陈彦辉教授,北京天文馆馆长、清华大学教授王晓锋团队等合作,从清华大学-马化腾巡天望远镜(TMTS)数据中,发现了一颗新的DA型脉动白矮星TMTS J2345。结合后续望远镜的观测数据,他们利用星震学对这颗白矮星的性质进行了深入研究。该研究成果于近期发表在国际知名SCI期刊《英国皇家天文学会月刊》(Monthly Notice of Royal Astronomical Society)上。
TMTS望远镜位于河北兴隆观测站,是由4个40厘米镜筒组成的总共18平方度视场的巡天望远镜。该望远镜成像使用了4个4k*4k像素的CMOS相机,使得数据读出时间小于1秒,可以用来进行连续高速测光。自从2020年开始运行以来,TMTS已经累积超过一千万条不间断的光变曲线,为特殊白矮星的光变研究提供了宝贵的数据来源。
脉动白矮星是一种由自身内部非径向的引力波脉动造成星体不停收缩和膨胀而导致光度变化的特殊白矮星。通过对TMTS中白矮星光变的检查,TMTS J2345被发现为可能的脉动白矮星候选体。通过5个夜晚的后续测光观测以及对光变数据的频谱图分析证认出6个不同的脉动频率(图1)。然后利用基于恒星演化模型MESA的脉动白矮星WDEC软件计算出的高达756万个理论模型,对证认出的6个脉动频率进行星震学模型拟合。
利用计算演化出的海量理论模型,拟合结果获得了精确的白矮星的基本参数以及内部结构信息。结果表明TMTS J2345的有效温度为12110+/-10K,质量为0.760+/-0.005倍太阳质量,核心的碳氧百分比分别为0.27和0.73。脉动白矮星内部化学元素占比轮廓也获得了精确的刻画(图2)。研究人员利用美国Lick天文台的3米望远镜,同时也对TMTS J2345进行了光谱观测。独立的光谱拟合结果(有效温度11778+/-617K,质量0.84+/-0.20倍太阳质量)也证实了星震学结果的可靠性。
另外根据TESS对TMTS J2345观测的分析可探测到一个3.39小时的周期。由于白矮星3角秒距离内有一颗M矮星且TESS相隔一年的观测周期信号强度显著下降,因此3.39小时的周期应该是M矮星自转周期。由于白矮星和M矮星相距较近,它们可能是被瓦解后的双星系统(Gaia径向距离3个秒差距)。研究中还分析了可能的瓦解原因并进一步对白矮星的前身星性质以及双星演化进行了估算和限制。
通过对新的脉动白矮星的发现以及星震学分析,可以对白矮星的基本参数进行精确估计,有利于对其他方式估算的结果进行修正。更重要的是可以了解内部的化学构成,帮助理解白矮星的形成和演化。随着北京天文馆双筒巡天望远镜(R2Pub)的顺利运行,相信会有更多特殊的白矮星被挖掘研究。
本项研究工作获得了国家自然科学基金以及北科院北科学者、创新培育项目的资助。
论文链接:https://academic.oup.com/mnras/article-abstract/523/1/1591/7176080
(北京天文馆 文/图)